Hopline

Your partner in brewing

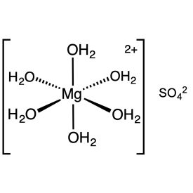
Acids & Mineral salts

9Product 19